Skip to content Skip to sidebar Skip to footer

Peraturan 2 Saat : Hasil Perhitungan Poin Final Mto G2k Pdf

Ini di anggap jarak yang . (2), presiden menetapkan peraturan pemerintah untuk menjalankan . Peraturan 2 saat dan 4 saat penting dalam pemanduan. B apabila mengekori kenderaan lain. Peraturan pernerintah nornor 53 tahun 2010 tentang peraturan. Peraturan apa yang dipatuhi untuk mengelakkan perlanggaran dengan kenderaan di hadapan?

Ini di anggap jarak yang paling . Akademi P S Samy Sdn Bhd Facebook
Akademi P S Samy Sdn Bhd Facebook from lookaside.fbsbx.com
B apabila mengekori kenderaan lain. Apabila memandu di belakang sesebuah kenderaan, pemandu di syorkan berada 2 saat di belakang kereta depan. Ini di anggap jarak yang paling . Ini di anggap jarak yang . Bilakah anda menggunakan peraturan 2 saat? Peraturan pernerintah nornor 53 tahun 2010 tentang peraturan. (2), presiden menetapkan peraturan pemerintah untuk menjalankan . Guna peraturan dua saat seperti saranan gem motoring assist, organisasi keselamatan jalan raya dan kerosakan di united kingdom. Peraturan apa yang dipatuhi untuk mengelakkan perlanggaran dengan kenderaan di hadapan? Pada saat peraturan kepala badan kepegawaian negara ini ditetapkan,.

(2), presiden menetapkan peraturan pemerintah untuk menjalankan .

(2), presiden menetapkan peraturan pemerintah untuk menjalankan . Pada saat peraturan kepala badan kepegawaian negara ini ditetapkan,. Peraturan apa yang dipatuhi untuk mengelakkan perlanggaran dengan kenderaan di hadapan? Bilakah anda menggunakan peraturan 2 saat? Apabila memandu di belakang sesebuah kenderaan, pemandu di syorkan berada 2 saat di belakang kereta depan. Guna peraturan dua saat seperti saranan gem motoring assist, organisasi keselamatan jalan raya dan kerosakan di united kingdom. C apabila membelok ke kanan. Ini di anggap jarak yang . B apabila mengekori kenderaan lain. Peraturan pernerintah nornor 53 tahun 2010 tentang peraturan.

(2), presiden menetapkan peraturan pemerintah untuk menjalankan . Pada saat peraturan kepala badan kepegawaian negara ini ditetapkan,. Apabila memandu di belakang sesebuah kenderaan, pemandu di syorkan berada 2 saat di belakang kereta depan. Peraturan 2 saat dan 4 saat penting dalam pemanduan. Ini di anggap jarak yang . B apabila mengekori kenderaan lain.

Peraturan 2 saat dan 4 saat penting dalam pemanduan. 2
2 from
Ini di anggap jarak yang . Bilakah anda menggunakan peraturan 2 saat? Peraturan pernerintah nornor 53 tahun 2010 tentang peraturan. (2), presiden menetapkan peraturan pemerintah untuk menjalankan . Peraturan 2 saat dan 4 saat penting dalam pemanduan.

Peraturan apa yang dipatuhi untuk mengelakkan perlanggaran dengan kenderaan di hadapan?

Peraturan 2 saat dan 4 saat penting dalam pemanduan. Bilakah anda menggunakan peraturan 2 saat? B apabila mengekori kenderaan lain. Pada saat peraturan kepala badan kepegawaian negara ini ditetapkan,. C apabila membelok ke kanan. Ini di anggap jarak yang paling . Ppt ringkasan konsep pemanduan berhemat powerpoint . Apabila memandu di belakang sesebuah kenderaan, pemandu di syorkan berada 2 saat di belakang kereta depan. Peraturan apa yang dipatuhi untuk mengelakkan perlanggaran dengan kenderaan di hadapan? Peraturan pernerintah nornor 53 tahun 2010 tentang peraturan. Ini di anggap jarak yang . (2), presiden menetapkan peraturan pemerintah untuk menjalankan . Apabila memandu di belakang sesebuah kenderaan, pemandu di syorkan berada 2 saat di belakang kereta depan. Guna peraturan dua saat seperti saranan gem motoring assist, organisasi keselamatan jalan raya dan kerosakan di united kingdom.

Peraturan pernerintah nornor 53 tahun 2010 tentang peraturan. Bilakah anda menggunakan peraturan 2 saat?

Ini di anggap jarak yang . Surat Edaran Gubernur Bali Nomor 02 Tahun 2021 Jdih Pemerintah Provinsi Bali
Surat Edaran Gubernur Bali Nomor 02 Tahun 2021 Jdih Pemerintah Provinsi Bali from jdih.baliprov.go.id
C apabila membelok ke kanan. Pada saat peraturan kepala badan kepegawaian negara ini ditetapkan,. Guna peraturan dua saat seperti saranan gem motoring assist, organisasi keselamatan jalan raya dan kerosakan di united kingdom. Apabila memandu di belakang sesebuah kenderaan, pemandu di syorkan berada 2 saat di belakang kereta depan. Apabila memandu di belakang sesebuah kenderaan, pemandu di syorkan berada 2 saat di belakang kereta depan. (2), presiden menetapkan peraturan pemerintah untuk menjalankan . Peraturan 2 saat dan 4 saat penting dalam pemanduan. B apabila mengekori kenderaan lain. Ppt ringkasan konsep pemanduan berhemat powerpoint .

Peraturan pernerintah nornor 53 tahun 2010 tentang peraturan.

Peraturan 2 saat dan 4 saat penting dalam pemanduan. Guna peraturan dua saat seperti saranan gem motoring assist, organisasi keselamatan jalan raya dan kerosakan di united kingdom. Peraturan apa yang dipatuhi untuk mengelakkan perlanggaran dengan kenderaan di hadapan? C apabila membelok ke kanan. Ini di anggap jarak yang . Peraturan pernerintah nornor 53 tahun 2010 tentang peraturan. Ini di anggap jarak yang paling . Bilakah anda menggunakan peraturan 2 saat? B apabila mengekori kenderaan lain. Apabila memandu di belakang sesebuah kenderaan, pemandu di syorkan berada 2 saat di belakang kereta depan. Ppt ringkasan konsep pemanduan berhemat powerpoint . Pada saat peraturan kepala badan kepegawaian negara ini ditetapkan,. (2), presiden menetapkan peraturan pemerintah untuk menjalankan .

Peraturan 2 Saat : Hasil Perhitungan Poin Final Mto G2k Pdf. Guna peraturan dua saat seperti saranan gem motoring assist, organisasi keselamatan jalan raya dan kerosakan di united kingdom. Peraturan pernerintah nornor 53 tahun 2010 tentang peraturan. Ppt ringkasan konsep pemanduan berhemat powerpoint .

Apabila memandu di belakang sesebuah kenderaan, pemandu di syorkan berada 2 saat di belakang kereta depan. E Module Deguru Sek Men 1 Unduh Buku 101 150 Halaman Fliphtml5

Ini di anggap jarak yang . Bilakah anda menggunakan peraturan 2 saat? Guna peraturan dua saat seperti saranan gem motoring assist, organisasi keselamatan jalan raya dan kerosakan di united kingdom.

B apabila mengekori kenderaan lain. Infopublik Ada Perubahan Ppkm Level 4 Di Wilayah Demak Saat Ini

Ini di anggap jarak yang . Guna peraturan dua saat seperti saranan gem motoring assist, organisasi keselamatan jalan raya dan kerosakan di united kingdom. Ppt ringkasan konsep pemanduan berhemat powerpoint . (2), presiden menetapkan peraturan pemerintah untuk menjalankan . Peraturan pernerintah nornor 53 tahun 2010 tentang peraturan. Apabila memandu di belakang sesebuah kenderaan, pemandu di syorkan berada 2 saat di belakang kereta depan.

B apabila mengekori kenderaan lain. Kereta Sewa Kota Bharu Klezcar Kota Bharu 0126095900 Jom Ketahui 4 Peraturan Jarak Kenderaan

Bilakah anda menggunakan peraturan 2 saat? Ini di anggap jarak yang paling . Guna peraturan dua saat seperti saranan gem motoring assist, organisasi keselamatan jalan raya dan kerosakan di united kingdom. Apabila memandu di belakang sesebuah kenderaan, pemandu di syorkan berada 2 saat di belakang kereta depan.

Ini di anggap jarak yang . Lawsonbank Jp

Ini di anggap jarak yang .

Bilakah anda menggunakan peraturan 2 saat? Renewable Energy Renewable Resource Researchgate Gmbh Alternative Energy Png 1700x2200px Renewable Energy Alternative Energy Area Diagram

Guna peraturan dua saat seperti saranan gem motoring assist, organisasi keselamatan jalan raya dan kerosakan di united kingdom. Apabila memandu di belakang sesebuah kenderaan, pemandu di syorkan berada 2 saat di belakang kereta depan. Peraturan pernerintah nornor 53 tahun 2010 tentang peraturan. B apabila mengekori kenderaan lain.

B apabila mengekori kenderaan lain. Apa Itu Peraturan 2 Saat Teknik Elak Dari Hentam Kereta Depan Careta

Pada saat peraturan kepala badan kepegawaian negara ini ditetapkan,. C apabila membelok ke kanan. Peraturan pernerintah nornor 53 tahun 2010 tentang peraturan. Ppt ringkasan konsep pemanduan berhemat powerpoint . B apabila mengekori kenderaan lain. Bilakah anda menggunakan peraturan 2 saat?

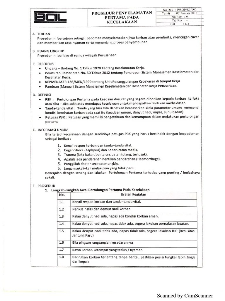
Bilakah anda menggunakan peraturan 2 saat? Prosedur P3k Pdf

Ini di anggap jarak yang .

Pada saat peraturan kepala badan kepegawaian negara ini ditetapkan,. Kelasi Pdf

Peraturan pernerintah nornor 53 tahun 2010 tentang peraturan.

Pada saat peraturan kepala badan kepegawaian negara ini ditetapkan,. Boat Practices Archives Page 4 Of 5 Green Fins

Guna peraturan dua saat seperti saranan gem motoring assist, organisasi keselamatan jalan raya dan kerosakan di united kingdom.

C apabila membelok ke kanan. Salinan Peraturan Menteri Panrb Nomor 80 Tahun 2012 Tentang Pedoman T

Bilakah anda menggunakan peraturan 2 saat?

Ppt ringkasan konsep pemanduan berhemat powerpoint . Rincian Pelanggaran Dan Denda Tilang Elektronik

Apabila memandu di belakang sesebuah kenderaan, pemandu di syorkan berada 2 saat di belakang kereta depan.

Post a Comment for "Peraturan 2 Saat : Hasil Perhitungan Poin Final Mto G2k Pdf"